Skip to content Skip to sidebar Skip to footer

Widget HTML #1

How To Do Average Rate Of Change Over An Interval - Find the average rate of change of.

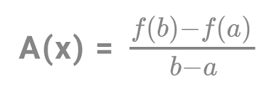
How To Do Average Rate Of Change Over An Interval - Find the average rate of change of.. When interpreting the average rate of change, we usually scale the result so that the denominator is 1. Identifying points that mark the interval on a graph can be used to find the average rate of change. When computing the average rate of change of polynomials, we are computing the slope across the interval. How do you find the average rate of change of y with respect to x over the interval 1, 3 given #y=3x^4#? The average rate of change of a function f ( t) over the interval a, b is f ( b) − f ( a) b − a.

To find the average rate of change, we divide the change in the output value by the change in the input value. As we already know, the instantaneous rate of change of f(x) at a is its derivative Comparing pairs of input and output values in a table can also be used to find the average rate of change. (i) the average rate of change of the car's displacement over time is 7/4. Hopefully, this post will help you to solve your math problem.

Please Answer This Question Right What Is The Average Rate Of Change Of F Over The Interval 0 Give Brainly Com
Please Answer This Question Right What Is The Average Rate Of Change Of F Over The Interval 0 Give Brainly Com from us-static.z-dn.net
If you've worked with the slope formula, this should look fairly familiar. For the function, f (x), the average rate of change is denoted δ f δ x. Use the values given in the table to find the average rate of change on these intervals: You can be given two points, as in example 1. The average rate of change is 1 over 3, or just 1/3. The comment below gives a simpler and better answer than mine, though the. The average rate of change is determined using only the beginning and ending data. A simple online calculator to find the average rate of change of a function over a given interval.

The rates of change of s ( t) and h ( t) are given by their derivatives.

This is how we define average rate of change of f of t over an interval. Rate of change = (12−5)/ (4−0) = 7/4. If we use only the beginning and ending data, we would be finding the average rate of change over the specified period of time. Rate of change = δy/δx. Then, to get the average value you have to add, which is to say integrate these functions between the given bounds and then divide by the length of the interval 3 − 1 = 2. Here's an example problem for calculating average rate of change of a function. The average rate of change of a function f ( t) over the interval a, b is f ( b) − f ( a) b − a. Here is the average rate of change formula: A simple online calculator to find the average rate of change of a function over a given interval. Hopefully, this post will help you to solve your math problem. Filling in the formula with t1 = 0 and t2 = 3. The average rate of change is determined using only the beginning and ending data. You can also work with a table, or with a function.

Find the average rate of change of. (i) the average rate of change of the car's displacement over time is 7/4. A simple online calculator to find the average rate of change of a function over a given interval. The comment below gives a simpler and better answer than mine, though the. If we know the function and interval that we are calculating average rate of change on, we use the standard formula.

Question Video Average Rates Of Change For Cubic Functions Nagwa
Question Video Average Rates Of Change For Cubic Functions Nagwa from media.nagwa.com
And visually, all we are doing is calculating the slope of the secant line passing between two points. This precalculus video tutorial explains how to calculate the average rate of change of a function over an interval. Code to add this calci to your website average rate of change formula: Rate of change = (12−5)/ (4−0) = 7/4. Find the average rate of change of. It is given by f(a + h) − f(a) h. The average rate of change of a function f ( t) over the interval a, b is f ( b) − f ( a) b − a. The numerator f ( b) − f ( a) is the change in f, and b − a measures how long it took.

Remember that slope equals rise over run, which means that is divided by.

If you've worked with the slope formula, this should look fairly familiar. Apr 27, 2017 use a difference quotient. Filling in the formula with t1 = 0 and t2 = 3. In this problem, you have to calculate the change in displacement. This video contains plenty of examples. Remember that slope equals rise over run, which means that is divided by. You can be given two points, as in example 1. The average rate of change is determined using only the beginning and ending data. How do you find the average rate of change of a function? Here is the average rate of change formula: This will provide us with the change in height divided by the change in time, which, if you think about it, is the average speed over the interval. Notice how we must set the derivative equal to the average rate of change. It's really the same kind of thing.

Average rate of change formula to find the average rate of change, we divide the change in y (output) by the change in x (input). To find the average rate of change, we divide the change in the output value by the change in the input value. You can determine the average rate of change over an interval from several different sources of information. The rates of change of s ( t) and h ( t) are given by their derivatives. (i) the average rate of change of the car's displacement over time is 7/4.

Calculate The Average Rate Of Change Over The Interval 1 3 For The Following Brainly Com
Calculate The Average Rate Of Change Over The Interval 1 3 For The Following Brainly Com from us-static.z-dn.net
Code to add this calci to your website average rate of change formula: The average rate of change is determined using only the beginning and ending data. Average rate of change formula to find the average rate of change, we divide the change in y (output) by the change in x (input). This will provide us with the change in height divided by the change in time, which, if you think about it, is the average speed over the interval. You can be given two points, as in example 1. Rate of change = δy/δx. Rate of change = (12−5)/ (4−0) = 7/4. Apr 27, 2017 use a difference quotient.

In simple terms, an average rate of change function is a process that calculates the amount of change in one item divided by the corresponding amount of change in another.

The average rate of change function is defined as the average rate at which one quantity is changing with respect to something else changing. The units on a rate of change are output units per input units. Then, to get the average value you have to add, which is to say integrate these functions between the given bounds and then divide by the length of the interval 3 − 1 = 2. Identifying points that mark the interval on a graph can be used to find the average rate of change. For the function, f (x), the average rate of change is denoted δ f δ x. That's all about the steps to find the average rate of change. As we already know, the instantaneous rate of change of f(x) at a is its derivative Hopefully, this post will help you to solve your math problem. And visually, all we are doing is calculating the slope of the secant line passing between two points. Here is the average rate of change formula: The average rate of change of a function f ( t) over the interval a, b is f ( b) − f ( a) b − a. How do you find the average rate of change of a function over a given interval?my algebra 2 course: Rate of change = δy/δx.

The average rate of change of the function f over that same interval is the ratio of the amount of change over that interval to the corresponding change in the x values how to do average rate of change. The average rate of change of the function f over that same interval is the ratio of the amount of change over that interval to the corresponding change in the x values.